聯系人:劉經理 ? ? 聯系電話:021-68751525 ? ? 傳真:021-68751525 ? 郵箱:biaozhuo17@126.com
1999-2013 ? 上海標卓科學儀器有限公司 版權所有 滬ICP備13034832號-1?
武漢網站優化

隨著我國經濟的發展,各種污染逐漸增多,特別是水污染情況比較嚴重。在人類活動的影響下,微生物所需的氮、磷等營養物質大量進入湖泊、河口、海灣等緩流水體,引起藻類及其它浮游生物迅速繁殖,水體溶解氧量下降,水質惡化,導致魚類及其它生物大量死亡;同時水污染也導致水資源短缺日益嚴重,所以迫切需要對水質進行及時監控和有效處理。
自然狀態中,溶解到水中的氧氣是支持水中生物呼吸的主要來源,其中水體最重要的指標是溶解氧(DO),溶解氧是指單位體積水中所溶解的氧質量,以mg/L表示。沒有受到污染的水中,溶解氧呈飽和狀態。適量的氧是魚類和好氧菌生存和繁殖的基本條件。在一個大氣壓、溫度為0℃的淡水中,溶解氧呈飽和狀態時的含量為10mg/L,溶解氧低于4mg/L時,魚類就難以生存。水被有機物污染后,由于好氧菌作用使有機物被氧化,消耗掉水中的溶解氧。若得不到空氣中氧的及時補充,水的活解氧就會減少,最終導致水體變質,所以溶解氧被作為水質污染程度的一項指標。溶解氧越少,表明污染程度越嚴重,因此水體溶解氧含量的準確測量,對于環境監測和環保執法具有重要意義。
目前常用的溶解氧檢測方法有碘量法、電化學法,熒光淬滅法等。碘量法是是檢測溶解氧含量的基準方法,該法是一種純化學檢測方法,耗時長,程序繁瑣,無法滿足現場測量的要求;電化學法是電流測定法根據分子氧透過薄膜的擴散速率來測定水中溶解氧的含量,目前市場上的儀器大多采用這種方法,每隔一段時間需要活化,需要經常更換透氧膜;熒光淬滅法具有很好的光化學穩定性、重現性,無延遲、精度高、壽命長,可對水中溶解氧進行實時在線監測。美國材料與檢測協會國際標準開發組織(ASTM)已經把熒光溶解氧測量法正式確認為測量水中溶解氧的標準方法之一。經過嚴格評估之后,負責水相關業務的美國材料與檢測協會D19委員會已將哈希公司冷光溶解氧測量法和美國環保局實驗室內對比驗證的實驗結果寫入了美國材料與檢測協會D888標準——水中溶解氧的標準測量方法。修訂后的標準將把熒光溶解氧測量法(C方法)與原有的傳統化學滴定法(A方法)和電化學(膜)測量法(B方法)并列,該修訂標準將收錄在美國材料與檢測協會標準年鑒第11.01和11.02卷上的D888–05標準內。
熒光淬滅法溶解氧分析儀已經有廠商進行產業化,而目前還沒有熒光淬滅法溶解氧分析儀的檢定規程,因此筆者對熒光淬滅法溶解氧分析儀校準方法進行了研究。
1熒光淬滅法溶解氧測定儀的工作原理
某些光敏物質的原子受激發后,會以發射熒光的形式返回基態,而氧的存在會干擾這一行為的進行,即氧分子含量越多,熒光壽命越短,對應強度越低,可以根據試樣溶液產生的熒光強度或熒光壽命來測定試樣溶液中氧的含量。
傳感器調制的藍光照到熒光物質上使其激發,并發出紅光,由于氧分子可以帶走能量(猝熄效應),所以激發紅光的時間和強度與氧分子的濃度成反比。采用與藍光同步的紅光光源作為參比,測量激發紅光與參比光之間的相位差,并與內部標定值比對,從而計算出氧分子的濃度,經過線性化和溫度補償,輸出最終值。
2主要校準項目
(1)零值誤差:通常測量儀器零值誤差均作為基值誤差對待,因為零值對考核測量儀器的穩定性、準確度作用十分重要,所以需要對零值誤差進行校準。
(2)響應時間:使用一段時間后,電極受到不同程度的污染,響應時間下降,會造成反應變慢;溶解氧二次表讀數不穩定,漂移大。
(3)溶解氧濃度示值誤差:根據水體中溶解氧含量與熒光碎滅效應的強弱程度成線性比例關系,需要通過不同濃度的溶解氧測定其誤差。
(4)重復性:溶解氧測定儀在使用一段時間后,重復性會下降,影響測量精度,因此需要對重復性進行校準。
(5)溫度示值誤差:溶解氧濃度與溫度呈函數關系,溫度對儀器測定結果影響很大,因此需要對儀器的溫度進行校準。
3校準條件
3.1環境條件
溫度:10~30℃,波動不超過±2℃;相對濕度:不超過85%;應無影響儀器正常工作的電磁干擾。
3.2校準用水
無氧水的制備:于500mL的燒杯中加入250mL蒸餾水,然后加入500mg亞硫酸鈉(Na2SO3)及微量二價鈷鹽,例如六水合氯化鈷(CoCl2·6H2O)作催化劑,攪拌均勻后使用。
飽和溶氧水的制備:于2L的燒杯中加入2L的蒸餾水,將多孔塑料膜浮于水面。同時加鼓泡器(空氣泵)向水中連續曝氣60min以上。水樣溫度控制在(25±0.3)℃。停止曝氣后即可用于校準。
不同溶解氧濃度水樣的制備:于L的燒杯中加入2L蒸餾水,將多孔塑料膜浮于水面。將標準氣體通過鼓泡器(空氣泵)按1L/min的流量通入蒸餾水中,連續通氣60min以上。標準氣的體積分數分別選擇10%,35%。水樣溫度控制在(25±0.3)℃。停止曝氣后即可用于校準。
3.3校準用標準物質
氣體標準物質:氮中氧氣氣體標準物質(以下簡稱標準氣體),相對擴展不確定度不大于2%(k=2)。
3.4校準用其它設備、試劑氣體流量計:量程0~1.5L/min,準確度級別不低于4級;多孔塑料膜;秒表:分度值0.1s;二等標準水銀溫度計:測量范圍0~50℃,分度值0.1℃;
氣壓表:分度值100Pa;鼓泡器:多孔;亞硫酸鈉:分析純;二價鈷鹽:分析純。
4校準方法
4.1零值誤差的校準
在校準進行前,允許更換電極、電解液及覆膜。按儀器說明書要求正常校準。將電極由空氣中浸入新配制的無氧水溶液中,5min后的儀器示值即為零位電流引起的零值誤差。
4.2溶解氧濃度示值誤差的校準按校準條件制備不同溶解氧濃度的水樣。標準氣體體積分數分別選擇10%,35%。水樣溶解氧的質量濃度按式(1)計算。

式中:"CS——水樣溶解氧的質量濃度,mg/L;
'CS——在P(Pa)大氣壓下制備的水樣標準溶解氧的質量濃度,mg/L;
Ca——水樣通入的氧氣標準氣體體積分數,%;
20.946%——空氣中氧氣體積分數。
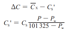
按溶解氧測試儀檢定裝置說明書要求操作,測量制備好的飽和溶氧水溫度。將電極由空氣中放入該飽和溶氧水中并輕輕擺動,穩定后讀取示值。重復測量2次,計算儀器示值平均值,按式(2)、式(3)計算溶解氧濃度示值誤差CD。

式中:CX——儀器示值平均值,mg/L;
CS——在標準大氣壓(101325Pa)下氧的飽和溶解質量濃度,mg/L;
P——現場大氣壓,Pa;
PW——在當前水溫下,和空氣接觸時飽和水蒸氣壓,Pa。
4.3重復性的校準
連續重復6次測量穩定的飽和溶氧水,分別記錄儀器示值,按式(4)計算儀器的重復性。

式中:S——儀器測量的重復性;
Ci——第i次測量值,mg/L;
C——6次測量值的算術平均值,mg/L。
4.4響應時間的校準
將電極浸入飽和溶氧水中,待讀數穩定后取出電極,并迅速浸入無氧水中,同時開始計時。當儀器顯示穩定值的10%時停止計時,此時秒表的讀數即為響應時間。
5校準試驗
為了驗證該校準方法的可行性,對MettlerToledo公司生產的SG9溶解氧測定儀按本方法進行校準,結果見表1。

由表1可知,該儀器的各項指標均符合校準項目技術指標的要求。校準結果符合該校準方法規定的計量要求。該校準方法能夠準確合理地評價熒光淬滅法溶解氧測定儀的性能,為從事溶解氧測試儀檢定裝置測量的技術人員和校準人員提供了參考。
6結果與討論
(1)探討了與熒光淬滅法溶解氧測定性能密切相關的零值誤差、溶解氧濃度示值誤差、重復性、響應時間計量特性的校準方法。通過4個項目的校準,該校準方法能實現對儀器性能較為科學的評價。
(2)熒光淬滅法溶解氧分析儀校準方法中的溶解氧濃度示值誤差是針對于熒光淬滅法溶解氧分析儀原理中Stern-Volmer方程進行設計的。因為根據Stern-Volmer方程水體中溶解氧含量與熒光碎滅效應的強弱程度呈線性關系,所以校準同一溫度下不同濃度的示值誤差非常重要,也是判斷該儀器計量性能的重要參數。
(3)零值誤差經常是測量誤差的來源。溶解氧的一點校準通常在被水蒸氣飽和的空氣中進行。通常儀器的零點電流非常低,濃度不小于1mg/L的測量,無需進行零點校準。當測量含氧量小于1mg/L的樣品時,需要使用零氧標準液進行第二點校準。如果傳感器在零點校準后變得反應遲緩或讀數不準確,則是因為傳感器上零氧溶液沒有清除干凈。需要在去離子水中徹底浸濕和清洗傳感器,以清除零氧溶液,恢復傳感器性能。
(4)熒光淬滅法溶解氧分析儀的傳感器會受到乙醇、雙氧水、氣態二氧化硫和氯氣的影響,但二氧化碳、氨、任何離子類物質均不會對熒光淬滅法溶解氧分析儀的測量造成干擾。
該校準方法的研究為熒光淬滅法溶解氧分析儀的溯源方法提供了參考,有利于更好地開展溶解氧計量校準工作,可據此對JJG291–2008《覆膜電極溶解氧測定儀》檢定規程進行完善和修訂。 文章來源于網絡轉載